一般认为: n≥2 为高阶导数。
归纳法
逐次求导,探索规律,得出通式。
例: 求 y=sinx 的 n 阶导数。
y’=y′′=⋯y(n)=(sinx)’=cosx=sin(x+2π)(sin(x+2π))’=cos(x+2π))=sin(x+2π+2π)sin(x+n⋅2π)
常用高阶导数
详见常用高阶导数公式
莱布尼茨公式
设 u=u(x),v=v(x) 均 n 阶可导,则:
(u±v)(n)=u(n)±v(n)
(uv)(n)==u(n)v+Cn1u(n−1)v’+Cn2u(n−2)v’’+⋯+Cnku(n−k)v(k)+⋯+Cnn−1u’v(n−1)+uv(n)k=0∑nCnku(n−k)v(k)
- 见到求两个函数乘积的高阶导数,一般用莱布尼茨公式即可。有时要结合 归纳法。
- 当一个函数求高阶导数较复杂时,如果能转化为乘积的形式,也可用莱布尼茨公式。
泰勒展开式
和泰勒公式同样重要!
抽象展开
任何一个无穷阶可导函数可写成:
y=f(x)=n=0∑∞n!f(n)(x0)(x−x0)n,
或者在 0 点展开:
y=f(x)=n=0∑∞n!f(n)(0)xn
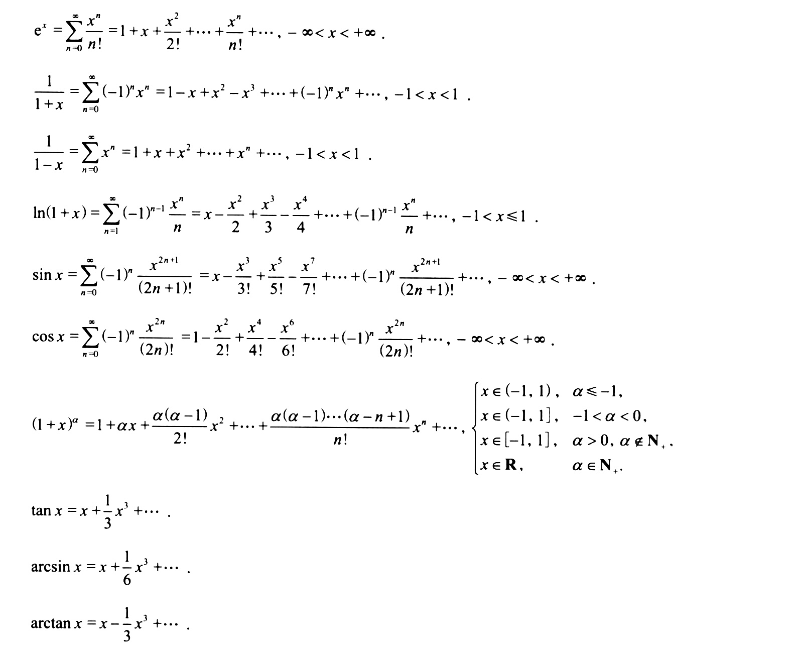
具体展开
题目给出一个具体的无穷阶可导函数 y=f(x) ,可以通过 已知公式 展开为幂级数。
已知公式 熟记

唯一性
无论 f(x) 用什么方式展开,其泰勒展开式具有 唯一性。因此我们可以通过比较 抽象展开 和 具体展开 中公式的系数,获得 f(n)(x0) 或者 f(n)(0)。