定义

元变量 的二次齐次多项式 quad_form_def 称为: 元二次型,简称二次型

Tldr

就是未知数的次幂始终是2。例如:

Note

考研只研究系数为实数的情况,故称之为实二次型

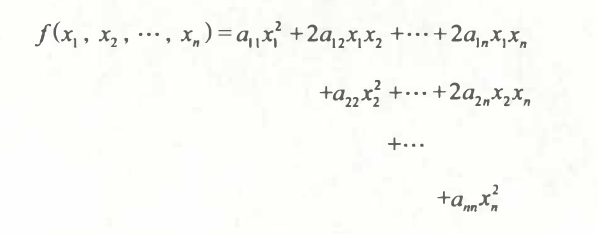
因为 ,若令 ,则 ,于是 quad_form_def_2

其中 式称为完全展开式 式称为和式

矩阵表示

令:

则二次型可表示为

式称为二次型 矩阵表达式,实对称矩阵 称为二次型 的矩阵

Example

quad_visual

Note

事实上,同一个二次型可以有不同的写法。如: 可被拆分为 从而得出不同的二次型矩阵。

正因如此,我们要按照 规矩 将二次型矩阵化为对称矩阵,将 写为 ,对称矩阵如下: